simple-expr-0.1.0.1: Minimalistic toolkit for simple mathematical expression.
Copyright(C) 2023 Alexey Tochin
LicenseBSD3 (see the file LICENSE)
MaintainerAlexey Tochin <Alexey.Tochin@gmail.com>
Safe HaskellNone
LanguageHaskell2010
Extensions
  • ScopedTypeVariables
  • ConstraintKinds
  • InstanceSigs
  • DeriveFunctor
  • TypeSynonymInstances
  • FlexibleContexts
  • FlexibleInstances
  • ConstrainedClassMethods
  • MultiParamTypeClasses
  • RankNTypes
  • ExplicitForAll

Debug.SimpleExpr.Tutorial

Description

Tutorial, Quick start or Demo for 'simple-expr' package.

Synopsis

    Quick start

    >>> import Prelude (String)
    >>> import Debug.SimpleExpr (variable, unaryFunc, binaryFunc)
    >>> import NumHask (sin, (**))
    

    Let us build an example symbolic expression for

    \[ f(x) := \sin x^2 \]

    It can be done as follows

    >>> x = variable "x"
    >>> sin (x ** 2)
    sin(x^2)
    

    where terms x and sin (x ** 2) have type SimpleExpr. It is just a syntactic tree where the role of leaves is played by variables and numbers. We used variable :: String -> SimpleExpr to build the expression for variable x. For the sine function we attracted a predefined term sin :: SimpleExpr -> SimpleExpr.

    As well we can define a custom function using unaryFunc and binary functoins using binaryFunc as follows

    >>> f = unaryFunc "f"
    >>> (-*-) = binaryFunc "-*-"
    >>> f x -*- f x
    f(x)-*-f(x)
    

    There is also a typeclass Expr that includes SimpleExpr as well as it's tuples and lists.

    Expression simplification

    >>> import Prelude (($))
    >>> import Debug.SimpleExpr (variable, simplify)
    >>> import NumHask ((+), (-), (*))
    

    We can try to simplify an expressions with the aid of quite a primitive simplify method

    >>> x = variable "x"
    >>> simplify $ (x + 0) * 1 - x * (3 - 2)
    0
    

    Visualisation

    >>> import Debug.SimpleExpr (variable, unaryFunc)
    >>> import Debug.SimpleExpr.GraphUtils (plotExpr, plotDGraphPng, exprToGraph)
    >>> import NumHask (exp, (*), (+), (-))
    

    There is a built-in tool to visualize expression that attracts graphite package to transform expressions to graphs and graphviz to render the images.

    Consider first a simple composition for two functions f and g

    >>> x = variable "x"
    >>> f = unaryFunc "f"
    >>> g = unaryFunc "g"
    >>> expr = g (f x)
    >>> expr
    g(f(x))
    

    This symbolic expression can be plotted by plotExpr :: Expr d => d -> IO ThreadId like

     plotExpr expr

    To save the image as a file use, for example,

    plotDGraphPng (exprToGraph expr) pathToFile ,

    where

    exprToGraph :: Expr d => d -> DGraph String ()

    transforms an expression to a graph and

    plotDGraphPng :: DGraph v e -> FilePath -> IO FilePath.

    plats the graph.

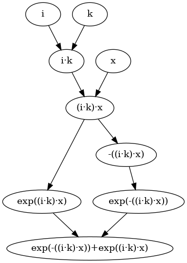
    Consider now a more representative example

    \[ e^{i k x} + e^{ - i k x} \]

    >>> :{
      x, k, i, expr :: SimpleExpr
      x = variable "x"
      k = variable "k"
      i = variable "i"
      expr = exp (i * k * x) + exp (-(i * k * x))
    :}