| Copyright | Written by David Himmelstrup |
|---|---|
| License | Unlicense |
| Maintainer | lemmih@gmail.com |
| Stability | experimental |
| Portability | POSIX |
| Safe Haskell | None |
| Language | Haskell2010 |
Reanimate.LaTeX
Contents
Description
Synopsis
- latexCfg :: TexConfig -> Text -> SVG
- data TexEngine
- data TexConfig = TexConfig {}
- latex :: Text -> Tree
- latexWithHeaders :: [Text] -> Text -> Tree
- latexChunks :: [Text] -> [Tree]
- xelatex :: Text -> Tree
- xelatexWithHeaders :: [Text] -> Text -> Tree
- ctex :: Text -> Tree
- ctexWithHeaders :: [Text] -> Text -> Tree
- latexAlign :: Text -> Tree
- chalkduster :: TexConfig
- calligra :: TexConfig
- noto :: TexConfig
- helvet :: TexConfig
- libertine :: TexConfig
Documentation
TeX backends. They have different features and capabilities.
Instances
| Eq TexEngine Source # | |
| Ord TexEngine Source # | |
| Read TexEngine Source # | |
| Show TexEngine Source # | |
| Generic TexEngine Source # | |
| Hashable TexEngine Source # | |
Defined in Reanimate.LaTeX | |
| type Rep TexEngine Source # | |
Defined in Reanimate.LaTeX type Rep TexEngine = D1 (MetaData "TexEngine" "Reanimate.LaTeX" "reanimate-1.1.0.0-IZNTNTM5CLcFDraqupO6Ew" False) (C1 (MetaCons "LaTeX" PrefixI False) (U1 :: Type -> Type) :+: (C1 (MetaCons "XeLaTeX" PrefixI False) (U1 :: Type -> Type) :+: C1 (MetaCons "LuaLaTeX" PrefixI False) (U1 :: Type -> Type))) | |
TeX configurations can load packages and set up environments for tex scripts.
Constructors
| TexConfig | |
Fields
| |
Instances
| Eq TexConfig Source # | |
| Ord TexConfig Source # | |
| Read TexConfig Source # | |
| Show TexConfig Source # | |
| Generic TexConfig Source # | |
| Hashable TexConfig Source # | |
Defined in Reanimate.LaTeX | |
| type Rep TexConfig Source # | |
Defined in Reanimate.LaTeX type Rep TexConfig = D1 (MetaData "TexConfig" "Reanimate.LaTeX" "reanimate-1.1.0.0-IZNTNTM5CLcFDraqupO6Ew" False) (C1 (MetaCons "TexConfig" PrefixI True) (S1 (MetaSel (Just "texConfigEngine") NoSourceUnpackedness NoSourceStrictness DecidedLazy) (Rec0 TexEngine) :*: (S1 (MetaSel (Just "texConfigHeaders") NoSourceUnpackedness NoSourceStrictness DecidedLazy) (Rec0 [Text]) :*: S1 (MetaSel (Just "texConfigPostScript") NoSourceUnpackedness NoSourceStrictness DecidedLazy) (Rec0 [Text])))) | |
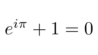
latex :: Text -> Tree Source #
Invoke latex and import the result as an SVG object. SVG objects are cached to improve performance.
Example:
latex "$e^{i\\pi}+1=0$"
latexChunks :: [Text] -> [Tree] Source #
Invoke latex and separate results.
xelatex :: Text -> Tree Source #
Invoke xelatex and import the result as an SVG object. SVG objects are cached to improve performance. Xelatex has support for non-western scripts.
Invoke xelatex with "usepackage[UTF8]{ctex}" and import the result as an SVG object. SVG objects are cached to improve performance. Xelatex has support for non-western scripts.
Example:
ctex "中文"

ctexWithHeaders :: [Text] -> Text -> Tree Source #
Invoke xelatex with extra script headers + ctex headers.
latexAlign :: Text -> Tree Source #
Invoke latex and import the result as an SVG object. SVG objects are cached to improve performance. This wraps the TeX code in an 'align*' context.
Example:
latexAlign "R = \\frac{{\\Delta x}}{{kA}}"
Font configurations
chalkduster :: TexConfig Source #
Chalkduster configuration. Depends on lualatex. Font files are automatically downloaded.
Example:
latexCfgchalkduster"chalkduster"




